NOTACION CIENTIFICA
Definición:
Consideramos notación científica a cualquier numero formado por la multiplicación entre un número decimal y 10 elevado a un numero.
Ejemplos:

Nota: Para que el numero sea escrito en notación científica correctamente, la parte entera del numero decimal debe estar compuesto solo por una unidad, es decir; la parte entera debe ser mayor a 1 y menor a 10.
Como pasar de una notación a otra
-
De número decimal a notación científica:
Ejemplo 1) La superficie de Argentina es de aproximadamente 2.780.400 km², si quisiéramos reescribir ese número como notación científica debemos:
Llevar la coma decimal al 1er número de la izquierda
Recuerda que si el número es entero, es decir; que no tiene coma decimal, podemos ubicarla al final del número
Todos los ceros que queden al final de la parte decimal, es decir; a la derecha, no hacen falta escribirlos
Multiplicar el nuevo numero decimal creado por 10 a la n potencia, donde n tomará el valor de la cantidad de veces que corrimos la coma decimal
En este caso como debemos correr la coma decimal 6 lugares a la derecha para volver al número original, entonces la potencia será 6 positivo
Ejemplo 2) El grosor de una hebra de telaraña común es de aproximadamente 0,0000315 metros
Debemos correr la coma decimal hacia la derecha hasta encontrar un número que esté entre 1 y 9, en este caso, el 3 es el primer numero que cumple la condición
Todos los ceros que queden a la izquierda del número entero, no tienen ningún valor, por lo tanto podemos eliminarlos
Aquí, debemos correr la coma decimal 5 lugares a la izquierda para volver al número original, entonces la potencia será -5
Nota: Un numero muy grande siempre quedara escrito en su notación científica con potencia positiva, mientras que un número muy pequeño siempre será con potencia negativa
De notación científica a número decimal:
Este proceso es mas sencillo:
-
Si tenemos un número con potencia positiva, debemos correr la coma hacia la DERECHA tantas veces como lo diga la potencia de base 10.

Después de colocar la coma en su respectivo lugar, solo nos queda completar el número con ceros. La coma y el cero decimal son innecesarios asique podemos eliminarlos
-
Si el número tiene potencia negativa, debemos correr la coma hacia la IZQUIERDA tantas veces como lo diga la potencia de base 10.
Ejemplo:

Después de colocar la coma en su respectivo lugar, solo nos queda completar el número con ceros
Operaciones
-
Multiplicación
Para realizar la multiplicación debemos hacerlo en dos partes, por un lado multiplicamos los números decimales y, por otro las potencias de base 10. Como ambas potencias son de igual base podemos aplicar una propiedad: En todo producto de igual base podemos sumar las potencias.
Ejemplo 1):

Nota: Si el resultado de multiplicar los dos números decimales fuese mayor a 9 entonces ese número no está en notación científica y debe transformarse y volver a multiplicar.
Ejemplo 2)
Multiplico por separado los números decimales y las potencias base 10
Transformo la parte decimal en notación científica y multiplico nuevamente las base 10 haciendo sumando las potencias
-
División
Al igual que la multiplicación, la división la debemos hacer en dos partes, por un lado dividimos los números decimales y, por otro las potencias de base 10. En este caso como ambas potencias de igual base se están dividiendo por lo tanto, las potencias se restan por la propiedad de división de igual base.
Ejemplo:

-
Suma y resta
Para sumar o restar número escritos en notación científica primero debemos transformarlas para que ambos notaciones queden con igual potencia
Ejemplos:

Podemos disminuir en 1 la primer potencia o aumentar la 2da, en este caso decidimos mostrar como aumentar la potencia aunque generalmente se suele elegir disminuir
Para aumentar la potencia de la base 10 una unidad, de 1 a 2 debemos desplazar la coma decimal un lugar hacia la izquierda para compensar
Ya teniendo ambos términos semejantes (con potencias de igual base y potencia) podemos simplemente sumar las partes decimales como se muestra en el ejemplo.

En este caso aumentamos la potencia del primer termino y disminuimos la potencia del segundo:
1) Para aumentar la potencia una unidad, de 3 a 4 en el primer término debemos desplazar la coma decimal un lugar hacia la izquierda para compensar
1) Para disminuir la potencia del segundo término 2 unidades, de 6 a 4 debemos desplazar la coma decimal dos lugares hacia la derecha para compensar
Ya queda solo restar las partes decimales como se muestra en el ejemplo.
Ejercicios:
1) Escribe los siguientes números en notación científica

2) Escribe los siguientes números en notación decimal


3) Resuelve las siguientes multiplicaciones y divisiones sin usar calculadora y dejar el resultado en notación científica
4) Resuelve las siguientes sumas y restas

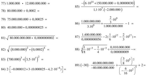
5) Resuelve las siguientes ejercicios combinados:

