
INTEGRALES
Integral de funciones racionales
Dado una integral de la forma podemos encontrarnos con 5 opciones a considerar:

1. P(x) > Q(x)
Dado el caso en que el grado de P(x) sea mayor que el grado de Q(x), debemos llevar el cociente a la forma
Ejemplo:

Hacemos la division del numerador dividido el denominador

Reescribimos el integral como C(x) + R(x)/Q(x)
Ya separado el integral en una suma de 2 integrales mas sencillos se pueden resolver de manera inmediata
2. P(x) < Q(x)
Dado el caso en que el grado de P(x) sea menor que el grado de Q(x), puede darse que:
2.1 Si Q(x) tiene raíces simples
Se factoriza el denominador y se reescribe el integral como

Ejemplo:

Factorizamos el denominador
Reescribimos la fracción como la suma de dos fracciones con A y B como numeradores
Sumamos ambas fracciones
Igualamos ese nuevo numerador al numerador original (5)
Nota: Si le asignamos 2 valores a x cualquiera haremos un sistema de 2 ecuaciones con 2 incógnitas (A y B) que podremos resolver, pero resulta mucho mas sencillo darle a la variable x los valores que hacen cero al denominador. Por lo tanto:

Asignamos a la variable x el valor de x = 1 por ser un cero del polinomio factorizado para eliminar el término con B
Y calculamos el valor de A
Asignamos a la variable x el valor de x = -4 por ser un cero del polinomio factorizado para eliminar el término con A
Y calculamos el valor de B
Teniendo el valor de A y B ya podemos reescribir la integral en una suma de dos integrales y resolver
Nota: En el caso de raíces simples siempre sus integrales serán logaritmos
2.2 Si Q(x) tiene una única raíz múltiple
Se factoriza el denominador y se reescribe el integral como:
Ejemplo:

Factorizamos el denominador
Reescribimos la fracción como suma de 3 fracciones (n = 3)
Sumamos las 3 fracciones
Igualamos los numeradores
Asignamos a la variable x el valor de x = 2 por ser un cero del polinomio factorizado para eliminar los términos con A y B
Para encontrar los valores de A y B le asignamos a la variable x cualquier valor para formar el sistema de ecuaciones:
En este caso x1 = 3 y x2 = 1
Y resolvemos dicho sistema de ecuación
Ya teniendo los valores de A, B y C reescribimos el integral como la suma de integrales y resolvemos
Nota: Los integrales con denominadores sin potencia siempre tienen soluciones logarítmicas mientras los integrales con denominadores con potencia siempre tendrán soluciones potenciales
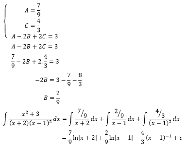
2.2 Si Q(x) tiene raíces simples y raíces múltiples
Es un caso combinado de los 2 casos anteriores. Se factoriza el denominador de raíces múltiples y se reescribe el integral como:
Ejemplo:

Factorizamos el denominador
Reescribimos la fracción como suma de 3 fracciones (Una raíz simple y una raíz múltiple de n = 2)
Sumamos las 3 fracciones
Igualamos los numeradores
Asignamos a la variable x el valor de x = -2 por ser un cero del polinomio factorizado para eliminar los términos con B y C
Asignamos a la variable x el valor de x = 1 por ser un cero del polinomio factorizado para eliminar los términos con A y B
Asignamos a la variable x el valor de x = 0 (cualquier valor a elección) para formar el sistema de 3 ecuaciones con 3 incógnitas

Y resolvemos dicho sistema de ecuación
Ya teniendo los valores de A, B y C reescribimos el integral como la suma de integrales y resolvemos
2.2 Si Q(x) no tiene raíces reales
En el caso de que no se pueda factorizar el denominador, debemos trabajar con éste algebraicamente para transformar el denominador en uno que si se pueda factorizar. para llegar a una integral logarítmica y otra de arco tangente.
METODO 1: Ejemplo

Después de comprobar que efectivamente el denominador no puede factorizarse en los reales, procedemos a derivarlo para comparar su derivada con el numerador pues:
Alteramos el numerador hasta llegar a la derivada del denominador
Conseguimos la derivada del denominador pero nos sobra un -2 así que separamos el numerador en dos fracciones
Ya separada podemos hallar la integral de la primera fracción de manera inmediata
Para integrar la segunda fracción, alteramos el denominador para llegar a un polinomio factorizable

Nota: Siempre la integral de la primer fracción podremos resolverla como un logaritmo y la 2da fracción debemos llevarla a la derivada de la función arco tangente
Trabajamos algebraicamente con la expresión hasta llegar a la deseada e integramos
METODO 2: Ejemplo
Este método consiste en hallar las raíces complejas del denominador y trabajar con cambio de variable


Ejercicios
Hallar las funciones primitivas de las siguientes integrales:
