
LIMITES
Definición
En matemática, un límite nos permite una noción intuitiva de aproximación hacia un punto concreto "a" de una sucesión o una función, a medida que los parámetros de esa sucesión o función se acercan a un determinado valor L.
Ejemplo 1) f(x) = x²- 1
x - 1
El dominio está compuesto por todos los valores de x que no anulan el denominador, es decir:
x - 1 ≠ 0
x ≠ 1
Por lo tanto: Dom f: lR - {1}
Si deseamos calcular f(x) para x = 1 obtenemos:
f(1) = 1²- 1 = 1 - 1 = 0
1 - 1 1 - 1 0
0/0 es una indeterminación, en realidad no podemos saber el valor de 0/0, así que tenemos que encontrar otra manera de hacerlo.
En lugar de calcular f(1) vamos a acercarnos poco a poco haciendo uso de dos tablas de valores:


Como se observa en las tablas de valores, a medida que acercamos la variable independiente x a 1 (x→1) el valor de la funcion se acerca a 2.
Grafica de la funcion:

Limite lateral
En el ejemplo anterior, para graficar la función realizamos dos tablas de valores, fue así para mostrar que un limite es la aproximacion a un punto concreto desde ambas direcciones, por izquierda (1ra tabla) y por derecha (2da tabla) y ambos limites laterales, deben dar un mismo valor L

Se lee: Existe el limite lateral por izquierda y existe el limite lateral por derecha. Ambos limites laterales tienen igual valor (2) por lo tanto existe el limite cuando x tiende a 1 y es igual a 2.
Ejemplo 2)

Como se puede observar en la grafica de la funcion, existen los limites laterales:
El limite cuando x tiende a "a" por izquierda es de 3,8 y el limite cuando x tiende a "a" por derecha es de 1,3.
Existen ambos limites laterales pero sus valores son distintos 3,8 ≠ 1,3 por lo tanto NO existe el limite de la funcion cuando x tiende a "a"
Limites infinitos
¿Qué pasa si queremos ver el comportamiento de una función en sus extremos?, es decir cuando x tiende a infinito y a menos infinito
Por ejemplo:

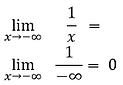
Quiero saber que sucede con la función muy a la izquierda, es decir cuando x→-∞ Por lo tanto calculo:

Aclaración: El resultado no dice que la función llega a y=0 sino que se acerca muchísimo a ese valor y, teniendo en cuenta que el resultado es negativo, los puntos de la grafica estarán por debajo del eje de las abscisas
Para saber que sucede con la función muy a la derecha, es decir cuando x→∞ realizamos el mismo procedimiento:

En este caso también el limite da 0 pero como el resultado es positivo, la grafica se acerca al eje de las abscisas por arriba de ésta
¿Y qué pasa si cuando x tiende a cero?
Aquí debemos calcular el limite lateral, es decir:


Si nos acercamos por la izquierda, la grafica baja hasta el -∞ Porque 1 dividido por un número negativo infinitamente pequeño da -∞. Podemos afirmar entonces que no existe el limite.
Aclaración: Recordemos que el limite, si existe, es un valor real L e ∞ no es un número
Y si nos acercamos por la derecha, la grafica sube hasta el ∞ Porque 1 dividido por un número positivo infinitamente pequeño da ∞.
Ejemplo 2:
Ahora vamos a calcular los limites e la función y = x² para cuando x→-∞ y x→∞

Sabemos que la grafica de la función es una parábola, pero no necesitamos conocer la grafica para calcular los límites:

Podemos ver que tanto para cuando x→-∞ como para cuando x→∞ los limites dan ∞ positivo por lo tanto no existen los límites cuando x tiende a infinito y a menos infinito
Funciones trigonométricas
Las funciones trigonométricas como sen(x) y cos(x) son funciones periódicas que oscilan entre 1 y -1 y como ya dijimos anteriormente, los límites deben ser únicos.
Algo similar sucede con el resto de las funciones trigonométricas al ser funciones periódicas. Por eso podemos asegurar que:


Los limites de funciones trigonométricas cuando x tiende a ±∞ no existen
Propiedades
-
Propiedad de la suma: el límite de la suma es la suma de los límites.
-
Propiedad de la resta: el límite de la resta es la resta de los límites.
-
Propiedad de la multiplicación: el límite de la multiplicación es la multiplicación de los límites.

-
Propiedad de la función constante: el límite de una función constante es esta misma constante.
-
Propiedad del factor constante: en un límite de una constante multiplicada por una función se puede sacar la constante del límite sin que se afecte el resultado.
-
Propiedad del cociente: el límite de un cociente de dos funciones es el cociente de los límites de las mismas

-
Propiedad de la función potencial: el límite de una función potencial es la potencia del límite de la base elevado al exponente:

-
Propiedad de la función potencial exponencial: el límite de una función potencial exponencial, es la potencia de los límites de las dos funciones:

-
Propiedad de la raíz: el límite de una raíz, es la raíz del límite:

-
Propiedad de la función logarítmica: El límite del logaritmo es el logaritmo del límite

Limites indeterminados
Ya vimos en el primer ejemplo que cuando queremos calcular el límite de f(x) = x²- 1
para cuando x tiende a 1 al reemplazar obtenemos 0/0 y mencionamos que eso era una indeterminación.
Existen 7 tipos de indeterminaciones:
x - 1

Nota: En las indeterminaciones existen conflicto de reglas, por ejemplo: "Cualquier número dividido por sí mismo es 1" (Ejemplo: 5/5 = 1) o "Cero dividido por cualquier número es 0" (Ejemplo: 0/5 = 0) y al juntarlas en 0/0, no sabemos cuál aplicar, por eso las llamamos indeterminaciones, porque no podemos determinar un resultado haciendo uso de propiedades matemáticas.
∞/∞ , 0/0 , 0.∞
Cuando tenemos una indeterminación en una función del tipo f(x)/g(x) como en el primer ejemplo, si se trata de una división de polinomios suele resolverse la indeterminación factorizando el numerador y el denominador para luego simplificar. Siguiendo el ejemplo:

Presentamos el limite en la función y reemplazamos la variable x por el valor 1
Al hacer los cálculos obtenemos la indeterminación
Factorizamos el denominador y simplificamos (x - 1) del numerador y del denominador
Ahora si al reemplazar la variable x por el valor 1 si obtenemos un valor real. Por lo tanto podemos afirmar que el limite de la función en x=1 es 2
Dado el caso que factorizar no elimine la indeterminación podemos intentar lo siguiente:

Dividimos tanto el numerador como el denominador por la variable con la mayor potencia, en este caso x²
Reemplazamos la variable por ∞ y calculamos
Al darnos ∞ podemos afirmar que el limite no existe
Aclaración: La división de un número dividido cero no existe, pero aquí estamos calculando el limite, por ende no estamos tratando con el valor cero en si, sino con una aproximación, por eso si se puede realizar, y al dividir cualquier número por otro infinitamente pequeño, obtenemos un numero infinitamente mayor, lo que es lo mismo a decir ∞
Un tercer caso puede darse en una división de radicales, por ejemplo:

Multiplico y divido por el conjugado para no alterar la expresión ( Ver radicales )
Simplifico y reemplazo
Si éste método tampoco eliminase la indeterminación, existe otro llamado Regla de L' Hopital
Regla de L' Hopital
Sean f y g dos funciones continuas definidas en el intervalo [a,b], derivables en (a,b) y sea c perteneciente a (a,b) tal que f(c) = g(c)=0 y g'(x) ≠ 0 si x = c.Si existe el límite L de f '/g' en c, entonces existe el límite de f/g (en c) y es igual a L. Por lo tanto,
Es decir, si la función es continua y existen las derivadas y siendo la derivada del denominador distinta de cero, entonces el limite de la división de las derivadas será igual al limite de la división de las funciones originales
Ejemplo:



Como se ve en el ejemplo, el denominador no es un polinomio, por lo tanto no podemos utilizar ninguno de los dos métodos antes vistos, por lo tanto pasamos a derivar tanto el numerador como el denominador ( Ver Derivadas )
Al derivar el numerador y el denominador, persiste la indeterminación, por ello podemos aplicar sucesivamente la regla de L'Hopital hasta eliminar dicha indeterminación
Como el limite de la división de las derivadas es cero, podemos afirmar por la regla de L'Hopital que el limite de la división de f(x)/g(x) = 0
∞ - ∞
Una de las opciones mas comunes para resolver esta indeterminación es sacar factor común:
Ejemplo:

Aplico factor común x
Propiedad del limite con respecto al producto
Propiedad del limite con respecto a la resta
Aplico L'Hopital porque vuelvo a tener otra indeterminación ∞/∞
Otro caso donde podemos encontrar una indeterminación del tipo ∞ - ∞ es en diferencias de radicales. Por ejemplo:

Multiplico y divido por el conjugado para no alterar la expresión
Al resolver obtengo otra indeterminación ∞/∞ asique divido tanto numerador como denominador por la variable con su mayor potencia, en este caso x²


Puesto que la potencia y el logaritmo de la misma base que la potencia se anulan entre sí por ser funciones inversas.
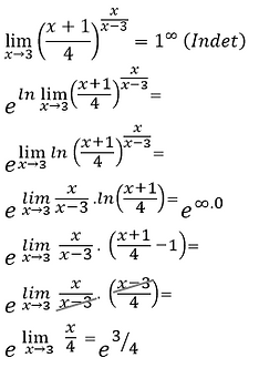
En cualquier límite exponencial indeterminado, según lo que se acaba de decir, podemos hacer:

Por la propiedad del limite de potencias: el limite de un logaritmo es igual al logaritmo del limite
Por propiedad de logaritmo: El logaritmo de una potencia es igual al producto de la potencia por el logaritmo. ( Ver logaritmos )
Ejemplo:

Como tenemos una indeterminación aplicamos la propiedad
Como persiste la indeterminación, aplicamos otra propiedad:
-
Dado ln (x) = 0, si x tiende a 1 entonces podemos escribir ln (x) = x - 1
Resuelvo la resta
Simplifico y multiplico
Límites notables
Un límite notable es un límite matemático fundamental que aparece con frecuencia al calcular funciones, cuyo resultado ya es conocido y se utiliza directamente para simplificar cálculos complejos sin necesidad de resolverlos paso a paso. Son equivalencias directas, frecuentemente trigonométricas, exponenciales o logarítmicas, que agilizan la resolución de indeterminaciones. A continuación en listaremos los limites notables mas conocidos y utilizados en la matemática:
Límite fundamental neperiano
El límite fundamental neperiano, asociado al número de Euler (e), define la base de los logaritmos naturales y resuelve indeterminaciones del tipo . Sus formas principales son:

Generalizando para cualquier constante

Ejemplo:

Para que la base 2x sea igual a la potencia 1/x aplico potencia 2/2
Aplico la propiedad potencia de potencia solo con el denominador
Por propiedad de la función potencia.
Otros límites notables:







Ejercicios:
Calcula los siguientes límites:




